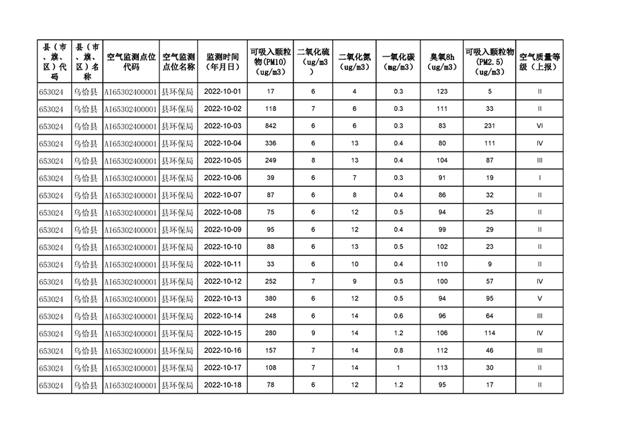
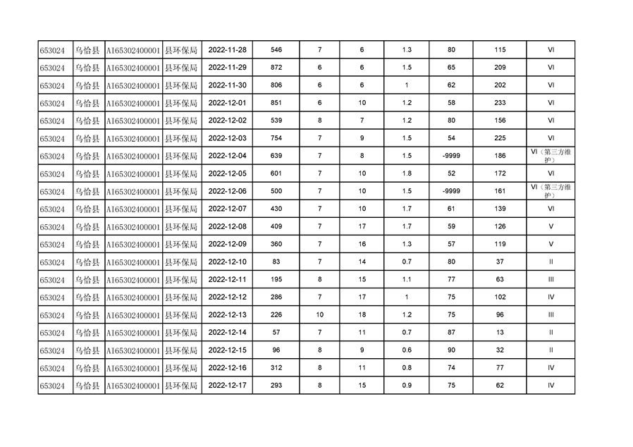
乌恰县 2022年第四季度国家生态功能区空气质量监测数据填报表(县域考核)
| 索 引 号 | K45899617/2023-00203 | 主题分类 | |
| 发布机构 | 克州生态环境局乌恰县分局 | 发布日期 | 2023-01-30 13:47 |
| 名 称 | |||
| 文 号 | 〔〕号 | 有 效 性 | |
| 来 源 | 克州生态环境局乌恰县分局 | ||





解读文章
| 索 引 号 | K45899617/2023-00203 | 主题分类 | |
| 发布机构 | 克州生态环境局乌恰县分局 | 发布日期 | 2023-01-30 13:47 |
| 名 称 | |||
| 文 号 | 〔〕号 | 有 效 性 | |
| 来 源 | 克州生态环境局乌恰县分局 | ||




